Effective FPSO hull design uses combined approach
Hull design for floating, production, storage, and offloading (FPSO) vessels can be challenging, as the maritime and offshore industries may have conflicting approaches.
The maritime industry generally follows the "empirical rule" approach, while the offshore industry prefers "first-principle" methods.
FPSO structure design incorporates elements of both, so designers in each industry need to be aware of the basis and limitations of the respective approaches.
Det Norske Veritas (DNV) recently introduced offshore standards for ship-shaped vessels that enable both industries to create and analyze effective FPSO hull structure design.
This article provides designers and operators with background and the applicability of tanker design requirements for FPSOs. It contains direct calculations that supplement traditional tanker design requirements and provides guidance to FPSO designers. It also evaluates loading issues, comparing the use of empirical formulas vs. direct analysis methods, and provides recommendations for when to consider direct analysis methods.
Designers and operators can now plan and implement requirements for the hull structural design of an FPSO through:
- Increased awareness of the similarities and differences between FPSOs and tankers.
- Understanding the use and limitations of Rule-based empirical formulas.
- Merging the design approaches followed by both the maritime and offshore industries-while still maintaining a consistent safety level.
- Reducing uncertainty and maintaining consistency by considering appropriate design approaches for different structural aspects based on the operating environment.
- Ensuring that designs incorporate both safety and economic considerations
Although this aid is specified for FPSOs, the procedures can be applied effectively to all ship-shaped offshore units, including floating, storage, and offloading vessels.
Design initiation
Because there is more design, construction, and operational experience amassed for tankers than for ship-shaped FPSO vessels, it is recommended that designers consider existing tanker practice when designing FPSOs, along with the corresponding structural requirements based on classification society rules (class rules). The designer must also consider the equally important differences between FPSOs and tankers and be aware of the basis and limitations of empirically based requirements.
Environmental criteria
FPSOs operate in different environments, so it is appropriate to adapt each structural design to its environmental requirements. DNV has incorporated such revised design requirements in its Offshore Standard, DNV-OS-C102 Structural Design of Offshore Ships (OS-C102).1
For practical reasons-and to maintain an equivalent level of safety for each-the DNV standards categorize FPSO environments into two primary types-harsh and benign.
The use of relevant acceptance criteria should correspond to the loading issues. The traditional use of the working stress design (WSD) format used for the hull design can create difficulties when integrating a topside structure that may have been designed using alternative standards.
To assist designers with such issues, DNV's new offshore design standards are based on the load resistance factor design (LRFD) approach for ship-shaped structures, as introduced by Ørbeck-Nilssen and Haug2 at OTC 2000.
Tankers vs. FPSOs
Generally, an FPSO hull structural arrangement is similar to a normal trading tanker in number and size of cargo holds, longitudinal stiffened plating, and connection details.
In terms of operating tankers vs. FPSOs, there are several main differences:
- Tankers are regularly dry-docked and can be inspected more frequently and easily without significant economic consequences.
- FPSOs experience more severe consequences from structural failure in terms of downtime losses and repair costs.
- Tankers typically are loaded-unloaded in-harbor, whereas FPSOs operate in a state of continuous loading-unloading while simultaneously experiencing environmental loads.
- Tanker design fatigue life normally is 20 years, whereas FPSO fatigue life is designed for its expected service life (25+ years). The life extension also differs. The life of a tanker may be extended more than 20 years, as the structure may be dry-docked and repaired regularly. Life extension for a permanently moored FPSO is more complex, particularly relative to repair issues.
The differences and similarities are generalized here, because some modern tanker operators are modifying their approach as they see the potential benefits of managing risk this way.
Design loads, analysis
Typically, the class rules, based on parametric formulas, are modified and updated by research intelligence and operating experience. Engineers can then develop a tanker hull structure design swiftly and easily considering key specifics such as length, beam, draft, speed, and block coefficient. The loads are applicable to cargo and container vessels, ferries, tankers, and others that have hull forms with ratios similar to those used as a basis for the equations.
The class rules typically use the North Atlantic wave environment as the design basis for unrestricted vessels, although a reduced wave climate, such as that for worldwide trade, may be employed for fatigue analysis.
The ship rules often use empirical formulas to establish loads. This differs from the first-principles approach sometimes followed by the offshore industry. Maritime designers also employ a WSD approach, whereas offshore may use either WSD or LRFD formats. These may not always be compatible with interfaces such as topsides stools, as Terpstra, et al., contend.3
The empirical approach may not always result in optimal hull structure arrangement, but it can reduce the time required to design most hull structural details such as shell plating, stiffeners, and framing. This is key because it allows a designer to rapidly develop a basic design that may be necessary for budget and planning purposes. The structural design can be further optimized or verified by considering first principle methods as a natural progression.
In terms of the design loads, the key functional differences are that tankers have the ability to avoid bad weather or alter heading, whereas the FPSO is in a fixed location and may be subject to larger loads, depending on the environment.
Again, the consequences of failure differ. Therefore, the maximum FPSO global design loads are based on a 100-year return compared with 20 years for a tanker [DNV Rules for Ships4 (+1A1) requirements].
In addition, turret-moored FPSOs will head into the extreme weather, particularly if passively moored. Consequently, FPSOs are more likely to be subjected to larger bow slamming, bow impact pressures, sloshing, and greenwater loads.
A tanker normally operates in the fully loaded or ballast state, whereas an FPSO is in a constant state of load-unload. This influences fatigue loading design considerations, particularly for the side longitudinals located at intermediate drafts.
FPSOs have components-topsides, turrets, flare towers, and riser porches, for example-not found on tankers. These create greater mass, higher centers of gravity, and large windage areas, all of which will alter vessel motion and response compared with a normal trading tanker.
These elements, combined with some of the new barge-shaped FPSO designs, introduce specific differences between tanker and FPSO design. Barge and novel-shaped designs may suffer undesirable motion characteristics leading to mechanical downtime, crew discomfort, green sea problems, and slamming.
The additional volume at the ends of the barge-shaped hulls, combined with limited ballast tanks, can create still-water bending moments significantly larger than for a traditional shaped vessel. In this circumstance, the still-water moments may exceed the rule still-water bending moment value by as much as 95%, according to Terpstra, et al.3
Furthermore, the absence of water ballast tanks may cause large draft variations between the fully loaded and ballast conditions, compared with a normal trading tanker. This may impact the fatigue design of the side longitudinals located near the waterline, because intermittent wet and dry surfaces in the splash zone drive the fatigue life.
The section scantlings (continuous longitudinal material) for FPSOs and tankers are both governed by tanker strength requirements (+1A1) given in the DNV ship rules.4 DNV's "Nauticus Hull Section Scantlings" also establishes these requirements, and it may be used for the strength checks of the transverse bulkhead plating and stiffening arrangement for both FPSOs and tankers. This is important, as shipyards are familiar with such tools.
The tanker design loading conditions for the transverse strength analysis are generally well defined in terms of tank loading configurations.
This leads to established structural analysis requirements for tanker structures, e.g., DNV Classification Note 31.3. 5
However, an FPSO may require direct strength calculations, depending on the arrangement and operational environment. This is the case when alternative tank loading conditions are required for operational purposes or if the vessel is located in a harsh environment where the loads are directly calculated.
Design to the environment
FPSOs operate in a number of different locations-Africa, Brazil, Asia-Pacific, North Sea, and the Gulf of Mexico. Each of these environments imposes a different set of design load requirements. To apply a consistent level of safety in each environment, different structural requirements are appropriate.
These requirements, in terms of the ultimate limit state (ULS), apply to two environmental categories-harsh and benign-as defined in OS-C102. These two categories are considered because the ULS generally governs the hull main scantlings.
The principle is to base the design of offshore ships on site-specific environments, using direct load calculation rather than empirical formulas. However, for practical reasons, a benign-environment FPSO may be designed using the traditional ship rule approach for a large portion of the structure to maintain the same level of safety.
Fig. 1 illustrates a filtering process for determining appropriate requirements based on the environment and the FPSOs global strength. Essentially this is a two-step process.
If the 100-year significant wave height for the site is less than 8.5 m, the environment may automatically be considered benign irrespective of the vessel length. Both Brazilian and West African environments are less than 8.5 m.
However, if the 100-year significant wave height is greater than 8.5 m, it does not automatically imply that the vessel must be evaluated as a harsh environment FPSO. The designer is provided with a second level filtering process to determine whether the vessel may still be considered as operating in a benign environment (see Equation 1).
Equation 1 compares the site-specific, 100-year maximum vertical bending moment, established from the hydrodynamic analysis, against the still-water and rule wave-bending moments. If this criterion is satisfied, the vessel's environment may still be considered benign (Fig. 1).
Two "harsh" levels
If appropriate, designers may further subdivide harsh environments into "harsh" (e.g., North Sea) or "hurricane" (Gulf of Mexico). Essentially, the hurricane environment may be considered a subcategory of the harsh environment, as they have the same ULS requirements. The difference between harsh and hurricane arises with the fatigue limit state (FLS).
Typically, hurricane-environment FPSOs will have greatly improved fatigue lives compared with harsh-environment FPSOs. Numerical simulations suggest that the ratio of fatigue lives between a hurricane-environment FPSO and a worldwide trading tanker may be greater than three. Normally, harsh-environment FPSOs will have reduced fatigue lives compared with trading tankers.
Although the vessel may be intended for operation at a particular site, the designer must also consider other possible loading scenarios. Some are FPSO transit from yard to site, transit to repair facilities, and resale relocations.
Because the rule requirements are based on a tanker operating worldwide with a 20-year return period, the normal Rule hull scantlings are satisfactory. If reduced hull scantlings are desired (with a maximum allowable hull girder section modulus reduction of 25%), the designer must address transit conditions. In the transit condition, FPSO-specific connection details such as topside stools, helicopter decks, and flare towers may be checked, considering the rule motions or the responses from the hydrodynamic analysis.
ULS requirements
After selecting applicable environment conditions, the designer can consider pertinent vessel strength design requirements. DNV has prepared a new offshore standard describing the requirements for each environment.1
To assist in describing the process, this article partitions the FPSO structure into two different categories: FPSO type details and tanker type details:
- FPSO type details are topside stools, riser porches, mooring foundations, flare towers, and such.
- Tanker type details encompass the connection details and structural types common to both FPSOs and tankers, such as longitudinal stiffeners, hull plating, transverse bulkheads, and longitudinal bulkheads.
Fig. 2 presents the ULS design process for all FPSOs, regardless of the environment. It shows the delineation between the WSD and LRFD requirements.
If the environment is considered along with the structural types, the designer may further refine the necessary analytical criteria, i.e., whether the existing tanker WSD is satisfactory or whether to use the LRFD method.
If the designer uses the filter process in Fig.1 and determines that benign-environment criteria are applicable, then several of the issues in Fig. 2 are irrelevant in achieving the same safety level, e.g., calculation of the nonlinear, longitudinal bending moment correction factor. Naturally, this reduces the level of design effort.
Although the design of a benign-environment FPSO may be simpler compared with a harsh environment vessel, the designer may conduct a more thorough analysis in order to reduce scantlings and save on material costs.
DNV's OS-C102 allows for two alternative design approaches for a benign-environment FPSO. Alternative 1 is the simplest approach for designing the FPSO based on the normal tanker requirements (+1A1) without any reduction in scantlings due to the environment.
Although using this alternative overdesigns the hull girder in terms of site-specific global strength, it also reduces the analytical effort for the transit condition, as the +1A1 requirements are considered sufficient. It also provides flexibility if the vessel will be transferred to an alternative site or must ever be taken to a yard for repairs or de-bottlenecking for the process system.
Because of reduced computational effort, the hull design may be established sooner, and steel may be ordered early with increased certainty.
Alternative 2 is appropriate if the cost of the extra steel is prohibitive. DNV allows the midship section modulus to be reduced by a maximum of 25%. Here, the designer must perform more-comprehensive calculations, and design requirements will closely match those for a harsh environment FPSO, e.g., direct calculations of the global moments, forces, and vessel motions using a hydrodynamic analysis.
Alternatively, say for a Gulf of Mexico FPSO, more strict ULS requirements are necessary due to environmental harshness. Here the designer must follow the complete process described in Fig.2.
Alternative 1 indicates the items that can be accepted based on the tanker strength requirements using empirical formulas. Alternative 2 concerns harsh and benign-environment FPSOs having a reduced hull girder section modulus. The first principle approach is required, and there is less reliance on the tanker requirements.
Fig. 3 can help in determining the appropriate method for establishing design load requirements by considering the type of environment-harsh, hurricane, or benign-and the analytical approach (Alternative 1 or 2). The figure delineates between global, local, and FPSO structure and summarizes the corresponding method for establishing the loads.
Load resistance factors
The LRFD format2 for ship-shaped and general steel structures can be used to provide a more consistent and uniform safety level compared with existing offshore rules based on the WSD format.
LRFD has several advantages:
- It provides a more precise tool for achieving the required safety level.
- It allows designers to develop and optimize the structure in a more-controlled, consistent manner.
- It allows designers to combine topside loads with hull loads and establish the combined stresses/resistance consistently. This is difficult using normal ship rules, where the interaction of different loads-external and internal pressure, motions, and global moments-is not clearly defined or available.
The LRFD approach differentiates between static and dynamic loads and assigns an appropriate factor for each load type, as used in Equation 1.
These factors represent the uncertainty in the determination of that particular load.
Designers may recognize the immediate benefit of using LRFD techniques with FPSOs designed for benign environments where the static loads dominate the global strength.
FLS requirements
The level of fatigue analysis required for class rule also depends on the vessel's operating environment. If it is benign, less-rigorous analytical procedures are required. Studies of structures in a hurricane-environment indicate that the fatigue performance may be improved by a factor of three or more, compared with a worldwide trading tanker.
DNV requires that the fatigue calculations for an FPSO be conducted according to the DNV Classification Note 30.7 (CN30.7).6 That document has a number of alternative methodologies covering simplified techniques (empirical loads, stress concentration factors, and long-term distributions) to the most rigorous approaches (direct load analysis and refined FE models). Lotsberg provides additional guidance for fatigue assessment of floating production vessels.7
Although simplified approaches may be relevant for establishing the required safety levels, a more comprehensive analysis is recommended for reducing the likelihood of costly repairs, particularly for similar details-such as side longitudinal connections-where the problem may be systemic.
For FPSOs, the DNV fatigue analysis requirements involve a spectral approach considering site-specific hydrodynamic loads. However, the loads may be combined by either making a complex summation or by using a parametric approach. The designer also may use tabulated stress concentration factors where available. Refined finite element models should be used if well-established stress concentration factors are not available, e.g., shear lugs for side longitudinals.
Fatigue safety factors are to be based on the certainty of the fatigue analysis results, the structure's availability for inspection, the economic consequences for damage, and vessel reparability.
Fatigue can be an issue in noncollinear environments. In these locations, simplified heading assumptions for turret-moored FPSOs can potentially overestimate the fatigue life for certain details, e.g., side shell details near the waterline. Here it is important to establish the direction of the loading (wave or swell) relative to the vessel heading.
Fatigue damage may be calculated on the response from the individual environments, or the stresses may be combined before fatigue damage calculation. Combination of fatigue damages due to the different responses can be complex, as the damages cannot be simply summed. Simple summation tends to be nonconservative because it ignores the augmentation between the different stress amplitudes.
DNV requires that a representative range in loading conditions be considered for fatigue analysis. As a general guidance, the designer may use 60% fully loaded and 40% ballast condition. It is recommended that intermediate loading conditions be included in the fatigue analysis for vessels with large draft variations (greater than 5 m).
Loading issues
For most hull structural items, such as plating and stiffening, the +1A1 loading requirements will be satisfactory regardless of the operating environment. However, some tanker-type details such as the foreship must be designed to allow for the probability of increased loading if the vessel is permanently moored.
Although there are a number of loads and influences that vary between FPSOs and tankers, this article describes only the following:
- Fore and aftship slamming.
- Bow impact.
- Greenwater.
- Sloshing.
- Accelerations.
These particular load differences are only relevant for the harsh and hurricane environments, as the normal tanker structure is considered satisfactory for a benign-environment FPSO. They are also presented in OS-C102.
The equations provide reasonable estimates for the loading. However, although damage will not likely cause catastrophic failure or safety repercussions, shutdown and repair may be costly. Therefore, it may be appropriate to consider more-rigorous methods for establishing some of these loads, particularly for vessels with unconventional shapes, e.g., barge-shaped hulls.
Fore and aftship slamming
It is difficult for a permanent turret-moored passive FPSO to avoid slamming in an extreme condition. Therefore, it is necessary to reinforce the bow and stern structure to mitigate slamming's effects.
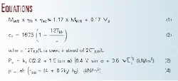
Using the +1A1 requirements (DNV Rules for Classification of Ships,4 Pt. 3, Ch.1, Sec.6 H200) as a basis, the heavy weather ballast draft (TBF) coefficient is simply modified to Equation 2.
For a 280-m long vessel with a ballast draft of 8 m, this would result in a 50% increase in forebody slamming pressure. This provides the designer a simple method for establishing the increase in loads compared with first-principle approaches. This can be particularly useful for conversions or for vessels with conventional bow and stern shapes.
Bow impact
Similarly, it may be necessary to reinforce the bow for a permanent turret-moored, passive FPSO due to bow impact loads in extreme conditions.
Using the +1A1 requirements (DNV ship rule, Pt. 3 Ch.1 Sec.7 E300), the bow impact equation is modified to allow for wave direction and increased probability of occurrence (Equation 3).
Greenwater
Similar to the slamming and impact pressures, there is an increased probability of exposure to greenwater loads for a permanently moored FPSO in a harsh environment.
Therefore, it is necessary to design items on the FPSO deck for protection against such events. Typical items include the weather decks, topside support structure, unprotected bulkheads or deckhouses, and superstructures located forward of 0.15 L from the FP (forward perpendicular).
Without model test data or more-comprehensive information, the design pressure acting on the weather deck may be established through Equation 4.
Using the +1A1 requirements (DNV ship rules, Pt. 3, Ch.1, Sec.8, Table B1), the greenwater loads for items other than the weather deck have been modified (Table 1).
Sloshing
Sloshing is a dynamic magnification of internal pressures acting on the boundaries and internal structure of cargo and ballast tanks. In certain circumstances the pressures may be greater than those obtained from static considerations alone. Sloshing occurs if the natural periods for the fluid and the vessel motions coincide. Major factors governing the occurrence of sloshing are:
- Tank dimensions.
- Tank filling levels.
- Structural arrangements inside the tank (wash bulkheads, web frames, etc.).
- Transverse metacentric height (GM).
- Vessel draught.
- Natural periods of ship and cargo in roll (transverse) and pitch (longitudinal) modes.
Cargo/ballast sloshing may be considered according to the requirements given in DNV Rules for Classification of Ships, Pt. 3, Ch.1, Sec.4, C300 "Liquid in Tanks."4 The DNV rules differentiate between impact sloshing and ordinary, nonimpact sloshing loads.
Typically, for a traditional tanker, sloshing loads are only considered in terms of the ULS. However, due to the constant tank filling and emptying in an FPSO, it may also be necessary to consider sloshing loads for the FLS.
The DNV rules give the nonimpact sloshing loads a probability level of 10-4. They represent the sloshing loads generally applicable to an FLS structural evaluation. The inertia forces induced by liquid in the tank govern these loads.
Based on the analysis for several offshore vessels of 100-260 m, a Weibull slope parameter h is approximately equal to 1.0 has been determined. This is appropriate for FLS evaluation of both the longitudinal and transverse sloshing modes for ship-shaped offshore units. The nonimpact sloshing loads should be applied to strength members, as identified in C300 "Liquid in tanks."
The DNV rules give the impact sloshing loads a probability level of 10-8 (about a 20-year return period) and represent the sloshing impact loads generally applicable for an ULS structural evaluation.
To determine the 100-year return period impact pressures, one may multiply the 10-8 values by a factor of 1.15, and apply the impact sloshing loads on strength members as indicated in C300 "Liquid in Tanks."
Typically, waves that induce the maximum wave-bending moment are those that have a wavelength similar to the ship's length. If there is sufficient difference between the period of encounter for this wave (Te) and the natural period (T) of the fluid in the tank, i.e., (T less than or equal to 0.75Te), then a reduced wave-bending moment may be used to calculate the allowable stress used in connection with sloshing loads for deck longitudinals. The allowable stress for deck longitudinals may then be based on a wave-bending moment reduced by 25% relative to the design wave-bending moment.
Use of model-testing or sloshing software can determine more-exact pressures and the natural frequency for the FPSO. Such programs allow the designer to more thoroughly establish the pressure fields and corresponding pressures associated with any sloshing loads.
This may be particularly important for FPSOs in noncollinear environments where the vessel may be subjected to beam swells with an encounter period matching the natural period of the tank contents.
Motions
The DNV ship rules, Pt.3, Ch.1, Sec. 4 B400 provide empirical formulas for establishing roll angle, period, and tangential acceleration. These are a function of the metacentric height (GM), beam of the hull, and roll radius of gyration. There also is a constant relating to whether or not the vessel has bilge keels and active roll damping.
The equation for roll angle should be used with caution for vessels with a low GM, as that implies long roll periods and normally small roll angles.
As Terpstra, et al.,3 maintain, the hull proportions for some newbuilding designs differ from those of conventional trading tankers. The length-to-beam (L/B) ratio can be substantially lower for some of the wide newbuilding designs and will influence the rolling motions for the hull. Roll is particularly important for the design of the deck transverse webs supporting the topsides.
It is therefore recommended that directly calculated roll motions, including the viscous drag effects, be considered in the design. Rule equations used for preliminary analyses, should be verified with direct calculations.
Analysis approach selection
An operator or a designer can establish the necessary level of direct computation by understanding the issues and relevant filtering mechanisms based on the intended environment. Table 2 summarizes these specific DNV FPSO computation requirements.
The table shows four design scenarios: benign, hurricane, harsh, and transit. The requirements for a hurricane environment FPSO are the same as for a harsh environment. It can be noted that there is little additional analysis required for the transit condition if the hull girder scantlings are not reduced compared with those of a normal trading tanker.
A reduced-scantlings, benign-environment FPSO has not been included in the Table. In this circumstance, the necessary analytical approach is very similar to those needed for a harsh environment.
Although the table identifies minimum requirements, it also indicates where direct analytical approaches are optional and where they are recommended to ensure that safety and economic issues are considered.
Classification issues
As a final note, it is important to understand the role, function, and approach taken by class rules. The two main issues are the focus on safety and the use of equivalent solutions.
The main emphasis for classification is ensuring that safety requirements are met. Classification verifies that the structure is designed and fabricated to a satisfactory safety level and that any incident, such as structural damage, will not induce catastrophic failure.
Owner/operators commonly impose stricter requirements due to the potential for significant economical consequences.
DNV rules allow for alternative solutions, provided they achieve an equivalent level of safety. The class rule requirements may be specifically evaluated for individual projects; however, the procedures identified are sufficiently adaptable to suit a variety of projects.
References
- Det Norske Veritas, "Offshore Standard-C102, Structural Design of Offshore Ships," January 2000.
- Ørbeck-Nilssen, K., and Haug, T., "New Standards and Service for Design of Offshore Structures," paper No. OTC 11890 presented at OTC 2000, Houston, May 1-4, 2000.
- Terpstra, T., d'Hautefeuille, B., and MacMillan, A., "FPSO Design and Conversion: A Designer's Approach," paper No. OTC 31210 presented at OTC 2001, Houston, Apr. 30-May 3, 2001.
- Det Norske Veritas, "Rules for Classification of Ships," July 2000.
- Det Norske Veritas, "Classification Note 31.3, Strength Analysis of Hull Structures in Tankers," January 1999.
- Det Norske Veritas, "Classification Note 30.7, Fatigue Assessment of Ship Structures," January 2001.
- Lotsberg, I., et al., "Fatigue Assessment of Floating Production Vessels," presented at BOSS'97, Delft University, The Netherlands, July 7-10, 1997.
This article is based on a presentation the author gave at the Offshore Technology Conference, Houston April 30 - May 3, 2001.
The author
Adrian MacMillan is a senior naval architect with the Det Norske Veritas office in Houston. His focus is on deepwater technology. For the past 2 years, he has specialized in the development of FPSO fatigue analysis requirements. During his career, he has worked predominantly with structural analysis and plan approval for ships, mobile offshore units, high-speed and light craft, racing yachts, and general structures constructed from steel, aluminum or composite materials. MacMillan started with Det Norske Veritas (DNV) Sydney in 1993. He earned his BE in naval architecture from the University of New South Wales in 1992.







